C1942 [NOI2013]树的计数

内存限制:256 MB 时间限制:1000 ms

题目描述

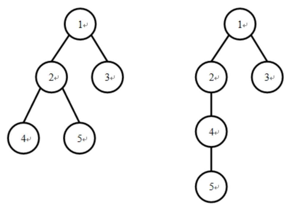
我们知道一棵有根树可以进行深度优先遍历(DFS)以及广度优先遍历(BFS)来生成这棵树的 DFS 序以及 BFS 序。两棵不同的树的 DFS 序有可能相同,并且它们的 BFS 序也有可能相同,例如下面两棵树的 DFS 序都是 $1 2 4 5 3$,BFS 序都是 $1 2 3 4 5$。

屏幕快照 2019-06-05 下午3.19.55.png

现给定一个 DFS 序和 BFS 序,我们想要知道,符合条件的有根树中,树的高度的平均值。即,假如共有 $K$ 棵不同的有根树具有这组 DFS 序和 BFS 序,且他们的高度分别是 $h_1,h_2,...,h_k$,那么请你输出 $\frac{h_1+h_2+\cdots+h_K}{K}$。

输入格式

第一行包含 $1$ 个正整数 $n$,表示树的节点个数。第二行包含 $n$ 个正整数,是一个 $1n$ 的排列,表示树的 DFS 序。第三行包含 $n$ 个正整数,是一个 $1n$ 的排列,表示树的 BFS 序。输入保证至少存在一棵树符合给定的两个序列。

输出

仅包含 $1$ 个实数,四舍五入保留恰好 三位小数,表示树高的平均值。

样例

样例输入 1

5 1 2 4 5 3 1 2 3 4 5

样例输出 1

3.500

提示

【评分方式】

如果输出的答案与标准输出的差不超过 $0.001$,则将获得该测试点上的分数,否则不得分。

【数据规模和约定】

$20\%$ 的测试数据,满足:$n≤10$;

$40\%$ 的测试数据,满足:$n≤100$;

$85\%$ 的测试数据,满足:$n≤2000$;

$100\%$ 的测试数据,满足:$2≤n≤200000$。

【说明】

树的高度:一棵有根树如果只包含一个根节点,那么它的高度为 $1$。否则,它的高度为根节点的所有子树的高度的最大值加 $1$。

对于树中任意的三个节点 $a,b,c$,如果 $a,b$ 都是 $c$ 的儿子,则 $a,b$ 在 BFS 序中和 DFS 序中的相对前后位置是一致的,即要么 $a$ 都在 $b$ 的前方,要么 $a$ 都在 $b$ 的后方。