C1903 求f(x,n)

内存限制:256 MB 时间限制:1000 ms

题目描述

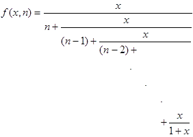
已知

image.png

用递归函数求解。

输入格式

第一数是 $x$ 的值,第二个数是 $n$ 的值。

输出

函数值。

样例

样例输入 1

1 2

样例输出 1

0.40

提示