C1523 [NOI2004]小H的小屋

内存限制:256 MB 时间限制:1000 ms

题目描述

小 H 发誓要做 $21$ 世纪最伟大的数学家。他认为,做数学家与做歌星一样,第一步要作好包装,不然本事再大也推不出去。为此他决定先在自己的住所上下功夫,让人一看就知道里面住着一个“未来的大数学家”。

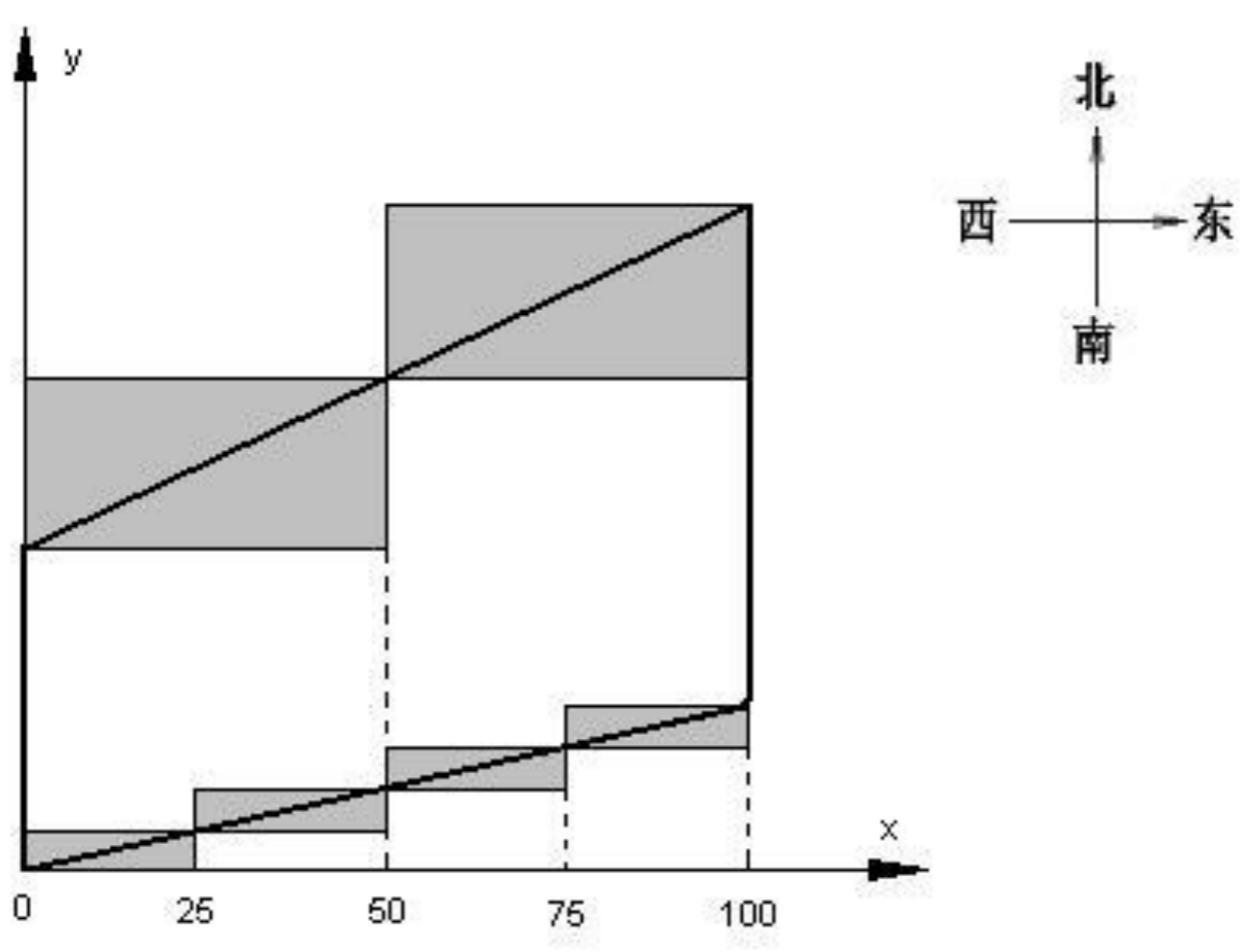
为了描述方便,我们以向东为 $x$ 轴正方向,向北为 $y$ 轴正方向,建立平面直角坐标系。小 H 的小屋东西长为 $100$ Hil(Hil 是小 H 自己使用的长度单位,至于怎样折合成 m,谁也不知道)。东墙和西墙均平行于 $y$ 轴,北墙和南墙分别是斜率为 $k_1$ 和 $k_2$ 的直线,$k_1$ 和 $k_2$ 为正实数。北墙和南墙的墙角处有很多块草坪,每块草坪都是一个矩形,矩形的每条边都平行于坐标轴。相邻两块草坪的接触点恰好在墙上,接触点的横坐标被称为它所在墙的“分点”,这些分点必须是 $1$ 到 $99$ 的整数。

小 H 认为,对称与不对称性的结合才能充分体现“数学美”。因此,在北墙角要有 $m$ 块草坪,在南墙角要有 $n$ 块草坪,并约定 $m≤n$。如果记北墙和南墙的分点集合分别为 $X_1,X_2$,则应满足 $X_1\subseteq X_2$,即北墙的任何一个分点一定是南墙的分点。

由于小 H 目前还没有丰厚的收入,他必须把草坪的造价降到最低,即草坪的占地总面积最小。你能编程帮他解决这个难题吗?

输入格式

仅一行,包含 $4$ 个数 $k_1,k_2,m,n$。$k_1$ 和 $k_2$ 为正实数,分别表示北墙和南墙的斜率,精确到小数点后第一位。$m$ 和 $n$ 为正整数,分别表示北墙角和南墙角的草坪的块数。

输出

一个实数,表示草坪的最小占地总面积。精确到小数点后第一位。

样例

样例输入 1

0.5 0.2 2 4

样例输出 1

3000.0

提示

屏幕快照 2019-06-11 下午2.45.08.png 约定

$2\le m\le n\le 100$

南北墙距离很远,不会出现南墙草坪和北墙草坪重叠的情况

【评分标准】

对于每个测试点,如果你的结果与标准答案的误差不超过 $0.1$,则可以得到该测试点的满分,否则得 $0$ 分。