C1354 [SCOI2003]严格n元树

内存限制:256 MB 时间限制:1000 ms

题目描述

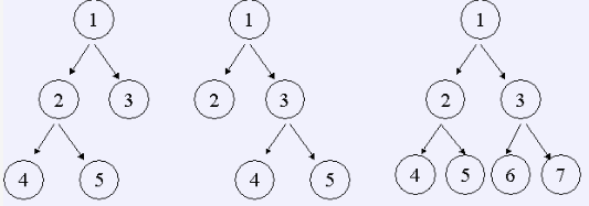
如果一棵树的所有非叶节点都恰好有 $n$ 个儿子,那么我们称它为严格 $n$ 元树。如果该树中最底层的节点深度为 $d$(根的深度为 $0$),那么我们称它为一棵深度为 $d$ 的严格 $n$ 元树。例如,深度为 $2$ 的严格 $2$ 元树有三个,如下图:

image.png

给出 $n, d$,编程数出深度为 $d$ 的 $n$ 元树数目。

输入格式

仅包含两个整数 $n, d(0 < n \le 32,0 \le d \le 16)$

输出

仅包含一个数,即深度为 $d$ 的 $n$ 元树的数目。

样例

样例输入 1

2 2

样例输出 1

3

样例输入 2

2 3

样例输出 2

21

样例输入 3

3 5

样例输出 3

58871587162270592645034001

提示