C1098 [Contest #8]神奇函数

内存限制:256 MB 时间限制:1000 ms

题目描述

对 $x>1$ 的整数 $x$ ,定义 $d(x)$ 是满足 $y|x$($y | x$ 表示 $y$ 是 $x$ 的约数)且大于 $1$ 的最小的整数。

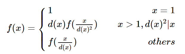
有一个神奇的函数 $\rm f$ ,定义域为正整数且满足以下条件:

TIM图片20190727200802.png

对于给定的 $n$, 求 $\sum_{i=1}^nf(i)$ 。

输入格式

本题每个测试点有多组数据,第 $1$ 行一个整数 $T$ 表示数据组数。

接下来 $T$ 行,每行一个整数 $n$ , 含义见题目描述。

  • $1\le T\le 10$
  • $1\le n \le 10^{13}$

输出

输出 $T$ 行,每行一个整数,表示该组数据的答案。

样例

样例输入 1

5 4 10 233 6666 123456

样例输出 1

5 14 513 21610 510126

提示

对于样例1的第1组数据:

$f(1)=1\\$

$d(2)=2,\ f(2)=f(1)=1\\$

$d(3)=3,\ f(3)=f(1)=1\\$

$d(4)=2,\ f(4)=2\times f(1)=2\\$

$\sum_{i=1}^4f(i)=5$