C0419 [WC2010-A]重建计划

内存限制:256 MB 时间限制:4000 ms

题目描述

X 国遭受了地震的重创,导致全国的交通近乎瘫痪,重建家园的计划迫在眉睫。X 国由 $N$ 个城市组成,重建小组提出,仅需建立 $N-1$ 条道路即可使得任意两个城市互相可达。于是,重建小组很快提出了一个包含 $N-1$ 条道路的方案,并满足城市之间两两可达,他们还计算评估了每条道路 $e$ 建设之后可以带来的价值 $v(e)$。

由于重建计划复杂而艰难,经费也有一定的限制。因此,政府要求第一期重建工程修建的道路数目为 $k$ 条,但需满足 $L \le k \le U$,即不应少于 $L$ 条,但不超过 $U$ 条。同时,为了最大化利用率,要求建设的这些道路恰好组成一条简单路径,即所建设的 $k$ 条路径可以构成一个排列 $e_1=(p_1,q_1),e_2=(p_2,q_2),...,e_k=(p_k,q_k)$,对于 $1 \le i < k$,有 $(q_i=p_{i+1})$。

重建小组打算修改他们的原有方案以满足要求,即在原有的 $N-1$ 条道路中寻找一条路径 $S$ 作为新的方案,使得新方案中的道路平均价值 $AvaValue=\frac{\sum_{e \in S}v(e)}{|S|}$ 最大。这里 $v(e)$ 表示道路 $e$ 的价值,$|S|$表示新方案中道路的条数。请你帮助重建小组寻找一个最优的方案。

注:在本题中 $L$ 和 $U$ 的设置将保证有解。

输入格式

第一行包含一个正整数 $N$,表示 $X$ 国的城市个数。

第二行包含两个正整数 $L$、$U$,表示政府要求的第一期重建方案中修建道路数的上下限。

接下来的 $N-1$ 行描述重建小组的原有方案,每行三个正整数 $a_i,b_i,v_i$,分别表示道路 $(a_i,b_i)$ ,其价值为 $v_i$。其中城市由 $1...N$ 标号。

输出

仅包含一行,为一个实数 $AvgValue$,即最大平均价值。小数点后保留三位。

样例

样例输入 1

4 2 3 1 2 1 1 3 2 1 4 3

样例输出 1

2.500

提示

【样例说明】

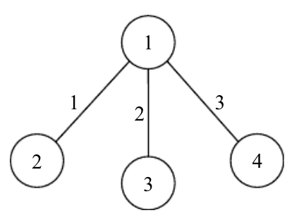
输入的原方案如下图所示,新方案中选择路径 $(3,1),(1,4)$ 可以得到的平均价值为 2.5,为最大平均价值。

屏幕快照 2019-06-18 上午11.19.23.png

【数据规模】

对于20%的数据,$N \le 5000$;

另有30%的数据,$N \le 100 000$,原有方案恰好为一条路径(链);

对于100%的数据,$N \le 100 000,1 \le L \le U \le N-1, v_i \le 10^6$。