C0390 [NOI2014Day1-B]魔法森林

内存限制:512 MB 时间限制:3000 ms

题目描述

为了得到书法大家的真传,小E同学下定决心去拜访住在魔法森林中的隐士。魔法森林可以被看成一个包含$𝑛$个节点$𝑚$条边的无向图,节点标号为1,2,3, ... , $𝑛$,边标号为1,2,3, ... , $𝑚$。初始时小E同学在1号节点,隐士则住在$𝑛$号节点。小E需要通过这一片魔法森林,才能够拜访到隐士。

魔法森林中居住了一些妖怪。每当有人经过一条边的时候,这条边上的妖怪就会对其发起攻击。幸运的是,在1号节点住着两种守护精灵:A型守护精灵与B型守护精灵。小E可以借助它们的力量,达到自己的目的。

只要小E带上足够多的守护精灵,妖怪们就不会发起攻击了。具体来说,无向图中的每一条边$𝑒_𝑖$包含两个权值$𝑎_𝑖$与$𝑏_𝑖$。若身上携带的A型守护精灵个数不少于$𝑎_𝑖$,且B型守护精灵个数不少于$𝑏_𝑖$,这条边上的妖怪就不会对通过这条边的人发起攻击。当且仅当通过这片魔法森林的过程中没有任意一条边的妖怪向小E发起攻击,他才能成功找到隐士

由于携带守护精灵是一件非常麻烦的事,小E想要知道,要能够成功拜访到隐士,最少需要携带守护精灵的总个数。守护精灵的总个数为A型守护精灵的个数与B型守护精灵的个数之和。

输入格式

第1行包含两个整数$𝑛,𝑚$,表示无向图共有$𝑛$个节点,$𝑚$条边。

接下来$𝑚$行,第$𝑖+1$行包含4个正整数$𝑋_𝑖,𝑌_𝑖,𝑎_𝑖,𝑏_𝑖$,描述第$𝑖$条无向边。其中$𝑋_𝑖$与$𝑌_𝑖$为该边两个端点的标号,$𝑎_𝑖$与$𝑏_𝑖$的含义如题所述。

注意数据中可能包含重边与自环。

输出

输出一行一个整数:如果小E可以成功拜访到隐士,输出小E最少需要携带的守护精灵的总个数;如果无论如何小E都无法拜访到隐士,输出“-1”(不含引号)。

样例

样例输入 1

4 5 1 2 19 1 2 3 8 12 2 4 12 15 1 3 17 8 3 4 1 17

样例输出 1

32

样例输入 2

3 1 1 2 1 1

样例输出 2

-1

提示

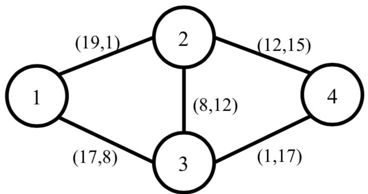
【样例说明1】

屏幕快照 2019-06-05 上午11.03.05.png

如果小E走路径1→2→4,需要携带19+15=34个守护精灵;
如果小E走路径1→3→4,需要携带17+17=34个守护精灵;
如果小E走路径1→2→3→4,需要携带19+17=36个守护精灵;
如果小E走路径1→3→2→4,需要携带17+15=32个守护精灵。
综上所述,小E最少需要携带32个守护精灵。

【样例说明2】

小E无法从1号节点到达3号节点,故输出-1。

【数据规模与约定】

屏幕快照 2019-06-05 上午11.05.00.png