C0378 [NOI2011Day2-A]道路修建

内存限制:256 MB 时间限制:2000 ms

题目描述

在W星球上有$n$个国家。为了各自国家的经济发展,他们决定在各个国家之间建设双向道路使得国家之间连通。但是每个国家的国王都很吝啬,他们只愿意修建恰好$n–1$条双向道路。

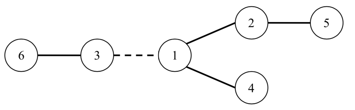
每条道路的修建都要付出一定的费用,这个费用等于道路长度乘以道路两端的国家个数之差的绝对值。例如,在下图中,虚线所示道路两端分别有2个、4个国家,如果该道路长度为1,则费用为1×|2–4|=2。图中圆圈里的数字表示国家的编号。

屏幕快照 2019-06-06 上午11.07.27.png

由于国家的数量十分庞大,道路的建造方案有很多种,同时每种方案的修建费用难以用人工计算,国王们决定找人设计一个软件,对于给定的建造方案,计算出所需要的费用。请你帮助国王们设计一个这样的软件。

输入格式

输入的第一行包含一个整数$n$,表示W星球上的国家的数量,国家从1到$n$编号。

接下来$n–1$行描述道路建设情况,其中第$i$行包含三个整数$a_i、b_i$和$c_i$,表示第$i$条双向道路修建在$a_i$与$b_i$两个国家之间,长度为$c_i$。

输出

输出一个整数,表示修建所有道路所需要的总费用。

样例

样例输入 1

6 1 2 1 1 3 1 1 4 2 6 3 1 5 2 1

样例输出 1

20

提示

【数据规模与约定】

所有测试数据的范围和特点如下表所示

屏幕快照 2019-06-06 上午11.09.43.png