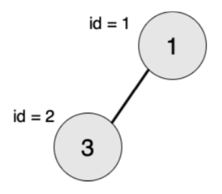
【输入输出样例1说明】

最大的对称二叉子树为以节点2为树根的子树,节点数为1。
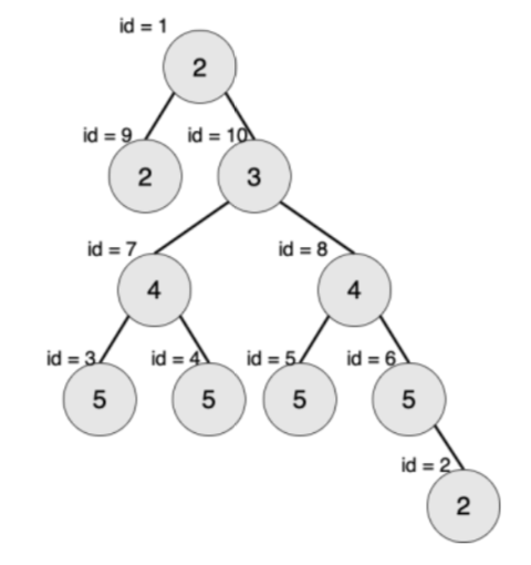
【输入输出样例2说明】

最大的对称二叉子树为以节点7为树根的子树,节点数为3。
【数据规模与约定】
共25个测试点。$𝑣_𝑖≤ 1000$。
测试点1~3,$𝑛 ≤ 10$,保证根结点的左子树的所有节点都没有右孩子,根结点的右子树的所有节点都没有左孩子。
测试点4~8,$𝑛 ≤ 10$。
测试点9~12,$𝑛 ≤ 10^5$,保证输入是一棵“满二叉树”。
测试点13~16,$𝑛 ≤ 10^5$,保证输入是一棵“完全二叉树”。
测试点17~20,$𝑛 ≤ 10^5$,保证输入的树的点权均为1。
测试点21~25,$𝑛 ≤ 10^6$。
本题约定:
层次:节点的层次从根开始定义起,根为第一层,根的孩子为第二层。树中任一节点的层次等于其父亲节点的层次加1。
树的深度:树中节点的最大层次称为树的深度。
满二叉树:设二叉树的深度为h,且二叉树有$2^h− 1$个节点,这就是满二叉树。

完全二叉树:设二叉树的深度为h,除第h层外,其它各层的结点数都达到最大个数,第h层所有的结点都连续集中在最左边,这就是完全二叉树。
